ECUACIONES POLINÓMICAS
RACIONALES:
Las ecuaciones polinómicas racionales son aquellas en las que
hay fracciones polinómicas.
Para resolver este tipo de ecuaciones lo haremos cómo resolvemos
las fracciones normales. Debemos encontrar el mínimo común múltiple de los
denominadores para poder resolver la ecuación.
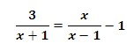
Veamos cómo hacerlo con un ejemplo:
PASO 1: En primer lugar
deberemos encontrar el mínimo común múltiple de estos dos denominadores:
PASO 2: Ahora debemos
colocar los denominadores y buscar los numeradores:
Para encontrar los
numeradores, debemos dividir el denominador inicial por el nuevo y luego
multiplicar por el numerador.
PASO 3: Ahora podemos
eliminar los denominadores:
PASO 4: Llegados a este
punto, ya tenemos una ecuación conocida, así que debemos solucionarla siguiendo
los patrones que ya conocemos:
Así, en este caso la solución será -1.





No hay comentarios:
Publicar un comentario